1-Các tiểu bang dân chủ đang tìm cách kiếm thêm tiền vì tăng thuế nữa thì dân không chịu nổi.
Dự luật hạ viện 1596 của tiểu bang Washington bắt buộc phải gắn đồng hồ kiểm soát tốc độ vào xe. Nếu xe chạy quá tốc độ qui định, giấy phạt sẽ tự động gởi về nhà.
Tiểu bang California cũng đang có một chương trình phạt nguội những xe chạy quá tốc độ quy định.

Tuy nhiên chỉ có vài thành phố dang được nằm trong danh sách thử nghiệm. Luật hạ viện 645 cho phép các thành phố đặt máy quay bất ký nơi nào trên các trục giao thông, để phạt những người chạy quá tốc độ. Các thành phố này bao gồm Los Angeles, San Jose, Oakland, San Francisco, Long Beach và Glendale.
Giắy phạt chạy quá tốc độ ở California rất là nhức nách. Có thể lên đến $1000 nếu chạy trên $100 mph. $500 nếu quá 25mph.
Các bạn nào lái xe đi chơi ở California chú ý chuyện phạt nguội.
Bị máy ghi hình phạt thì không có chuyện năn nĩ, cải vã xin giãm mile.
2-TT Trump ra lệnh ngưng chức 2 giám đốc an ninh của USAID, sau khi họ từ chối chuyển giao tài liệu mật cho nhóm thanh tra chính phủ của Elon Musk, các quan chức cho biết.
Báo cánh tả thì nói Elon không có chức vụ gì vì bộ Doge chưa được quốc hội chấp thuận ,nhưng quên là ông Trump đã đề cử Doge tạm thời là một bộ phận kiểm soát tài chính nằm trong trong Whitehouse. Bộ tài chính cũng bổ nhiệm Elon Musk làm thanh tra. Anh khác nhảy vào la Elon Musk không có "Security Clearane" nhưng quên nói cho người đọc biết là Elon đã có quyền này ngay sau khi ông Trump nhậm chức. Hình.
Quyền hành thật có hay không thì cứ mạnh miệng bàn. Nhưng thấy mấy ngày nay Elon đuổi các quan chức cao cấp hơi bị nhiều.
3-Elon Musk đã ra lệnh đình chỉ 20 tỷ gởi ra cho các cơ quan NGO mà bộ tài chính đã bất chấp lệnh của TT Trump gởi ra và khoá luôn cả máy computer với hy vọng số tiền này sé được rút ra trước khi bộ DoGE tiếp cận.
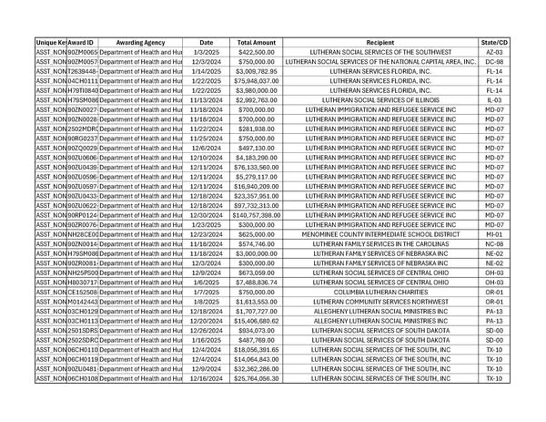
Hình phía dưới cho thấy chỉ riêng trong ngày 22 tháng 1, sau khi ông Trump nhậm chức. Bộ y tế đã gởi ra cho Lutheran Social Services gần 80 triệu đô. Hình.
4-Chưa tới 2 tuần nhậm chức, dưới sự làm việc ngày đêm của bộ Doge, Elon Musk. Chính quyền Trump đã giãm được gần 50 tỷ đô la cho ngân sách, vượt qua mức dự đoán của Elon là 40 tỷ .
https://www.usdebtclock.org/
5- TT Trump ký lệnh cho vệ binh quốc gia của Texas và thống đốc Greg Abbott có toàn quyền quyết định vấn đề di trú trong tiểu bang.
Trước đây chính quyền Biden đã kiện Texas vì tội bắt di dân lậu và lập hàng rào biên giới.
6-Tiền Canada và tiền Mexico rớt giá sau khi TT Trump áp đặt giá thuế 25% lên các nước này.
Theo lý luận của nhiều quý ông , bà "trí thức" thì việc đóng thuế của TT Trump sẽ làm nước Mỹ tiêu tùng. Nhưng tại sao giá trị tiền không lên mà lại đi xuống. Khó hiểu quá !!! Hình
7-Bộ trưởng Ngoại giao Marco Rubio họp báo sáng nay ở Panama cảnh báo Tổng thống Panama José Raúl Mulino và Bộ trưởng Ngoại giao Javier Martínez-Acha rằng ảnh hưởng của Trung Cộng đối với Kênh đào Panama phải được kiềm chế hoặc Hoa Kỳ sẽ có hành động trả đũa.
Ông nói rõ rằng "tình trạng hiện tại này là không thể chấp nhận được và nếu không có những thay đổi ngay lập tức, Hoa Kỳ sẽ phải thực hiện các biện pháp cần thiết để bảo vệ các quyền của mình theo Hiệp ước Torrijos–Carter, có nghĩa là sẽ lấy lại kênh đào.
8-Tổng thống Trump cho biết. Sau khi đánh thuế Canada, Maxico và Trung Cộng, tiếp tới sẽ là các nước trong khối Âu Châu.
Ông Ấn độ mới vừa nghe chuyện Mỹ đánh thuế nhập, vội vàng ra lệnh giãm thuế liền cho các hàng nhập từ Mỹ.
9- Theo tôi nghĩ, ông Tổng thư ký NATO này không biết tình hình thế giới bằng mấy ông Facebooker ViệtNam.
Tổng thư ký NATO Mark Rutte đồng ý với Tổng thống Trump về Greenland và kêu gọi Đan Mạch ngay lập tức bắt đầu đàm phán. "Khi nói đến vấn đề quốc phòng ở Bắc Cực, Trump đã đúng. Điều tôi nghĩ là rất tốt là Thủ tướng Đan Mạch phải ngay lập tức bắt đầu đàm phán với Tổng thống Trump. Về cơ bản, đó là tầm quan trọng cao của quốc phòng ở bắc cực."
https://www.msn.com/.../trump-is-right-nato.../ar-AA1yhmtn
10-Sau cuộc họp với ngoại trưởng Mỹ Rubio. Tổng thống Panama, José Raúl Mulino tuyên bố sẽ chấm dứt hợp đồng Belt and Road với Trung Cộng khi hết hạn.
(Lê Hoàng)